電話:021-69515711
手機:13818065015
傳真:021-69515712-
1049485
-
8459743
-
1993509414
:renrimarket
market@renri.com.cn
REN310型立柱式輻射監測系統,主要用于放射性監測場所的行人或行包通過的監測系統,采用大體積的閃爍體探測器作為探測器,具有體積小,便于攜帶,靈敏度高,誤差小的特點,適用與核應急等特殊的放射性檢測場合。該系統主要由安裝在現場的立柱和遠程計算機系統組成。立柱內置的
REN300A在線輻射安全報警儀是一種新型的x-γ輻射連續監測報警裝置,它采用特殊設計的前置放大電路,具有靈敏度高、操作方便、自動顯示和超閾值報警等特點,能實時給出xγ輻射劑量率;儀器內置海量數據存儲功能,能存儲10年的歷史數據且標配提供強大的RenLocal輻射監測數據分析軟件。考慮
REN系列智能化輻射探頭均可和REN300、REN300A、REN300B系列主機配套使用,也可以單獨配套RenRiArea輻射區域監測軟件使用。且具有RS485/RS232的通訊能力。所有探頭均可單獨外接報警燈,在超閾值的情況下就地給出聲光報警。
REN500型智能化χ、γ輻射儀采用高靈敏的閃爍晶體作為探測器,反應速度快, 和國內同類儀器相比,該儀器具有更寬的劑量率測量范圍。 該儀器除能測高能、低能γ射線外,還能對低能X射線進行準確的測量,具有良好的能量響應特性。此外通過配套的Re
為了加強對放射源和射線裝置安全運行的監督管理,保障人體健康、保護環境,根據輻射防護三原則與國家相關標準的要求,考慮人為操作失誤、射線裝置和放射源意外故障等原因可能引發的放射性危害,有必要建設一套在線xγ射線監測報警系統。
在線式xγ射線監測報警系統通過計算機遠程集中監測,完成對放射性
REN系列智能化輻射探頭均可和REN300、REN300A、REN300B系列主機配套使用,也可以單獨配套RenRiArea輻射區域監測軟件使用。且具有RS485/RS232的通訊能力。所有探頭均可單獨外接報警燈,在超閾值的情況下就地給出聲光報警。
(一)REN-GM-L型 GM管
REN500B型智能化х-γ輻射儀是監測各種放射性工作場所х、γ射線輻射劑量率的專用儀器。該儀器具有較大的劑量率測量范圍和能量響應特性。此外通過配套的RenRiRate劑量率管理軟件可將存儲的數據讀出后分析。該儀器廣泛用于衛生、環保、冶金、石油、化工、醫院、加速器、工業探傷
REN200B型X、γ輻射個人劑量當量HP(10)監測儀(簡稱:個人劑量報警儀)內置高量程蓋格計數管為探測器,主要用來監測各種放射性工作場所的X、γ以及硬β射線的輻射,具有較寬的測量范圍。能顯示工作場所的劑量當量率和累積劑量,更換電池時,日期及累積數據能永久保存。可選配RenRiPersonal個人
放射性
2007/7/24 18:29:00
原子核自發地放射出各種射線的現象,如 α、β、γ放射性等。1896年,法國科學家A.-H.貝可勒爾在研究鈾鹽的熒光現象時,發現含鈾物質能發射出穿透力很強的不可見的射線,使照相底片感光。后來,經過人們的多年研究,終于證明它是三種成分組成的:一種是高速運動的氦原子核粒子束,稱為α 射線。它的電離作用大,貫穿本領小,穿不透一張薄紙。另一種是高速運動的電子束,稱為β射線。它的電離作用較小,貫穿本領較大,但仍穿不透一張薄金屬片。第三種是波長很短的電磁波,稱為γ射線。它的電離作用最小,貫穿本領最大,可以穿過例如1厘米厚的鉛板。
放射性射線的性質、發射機制以及各種科技上的應用,一直是原子核物理學研究的一個重要的方面。
放射性的類型 放射性有天然放射性和人工放射性之分。天然放射性是指天然存在的放射性核素所具有的放射性。它們大多屬于由重元素組成的三個放射系(即釷系、鈾系和錒系)。人工放射性是指用核反應的辦法所獲得的放射性。人工放射性最早是在1934年由法國科學家約里奧-居里夫婦發現的(見人工放射性核素)。
現在知道,許多天然和人工生產的核素都能自發地放射出射線。放出的射線類型除 α、β、γ以外,還有正電子、質子、中子、中微子等其他粒子。能自發地放射出射線的核素,稱為放射性核素(以前常稱為放射性同位素),也叫不穩定核素。實驗表明,溫度、壓力、磁場都不能顯著地影響射線的發射。這是由于溫度等只能引起核外電子狀態的變化,而放射現象是由原子核內部變化引起的,同核外電子狀態的改變關系很小。除自發裂變外,放射現象一般與衰變過程有關,主要同α衰變、β衰變過程有關。
α 放射性出現在α衰變過程中。此時,衰變后的剩余核(通常叫子核)與衰變前的原子核(通常叫母核)相比,原子序數減少2,質量數減少4。α衰變是母核通過強相互作用和隧道效應,發射α 粒子而發生的。
β放射性出現在β衰變過程中。β衰變有三種類型:① β+衰變,放出正電子和中微子的β衰變;② β-衰變,放出電子和反中微子的β衰變;③ 軌道電子俘獲,俘獲一個軌道電子并放出一個中微子的過程。β衰變是通過弱相互作用而發生的。
γ放射性通常和α衰變或β衰變有聯系。α 和β衰變的子核往往處于激發態。處于激發態的原子核要放出γ射線而向較低激發態或基態躍遷,這叫γ躍遷。因此,γ射線的自發放射一般是伴隨α 或β射線產生的。
β衰變所形成的子核,當其激發能足夠高時,有可能放射中子、質子或α 粒子,甚至可以產生裂變。這些衰變類型分別叫做β緩發中子發射(β-n)、β緩發質子發射(β-p)、β緩發α 發射(β-α)和β緩發裂變(β-f)。
自發裂變是放射現象的另一種類型(見核裂變)。某些重核可以自發地分裂成兩個質量相差不多的原子核,并放出幾個中子。
質子放射性也是放射性的一種。例如處于激發態的
能自發地放射出質子,其衰變方式如下:

衰變規律 放射性原子核的衰變是一個統計過程,所以放射性原子的數目在衰變時是按指數規律隨時間的增加而減少的,稱為指數衰減規律
。
放射性活度 處于某一特定能態的放射性核在單位時間的衰變數-dN/dt,記作A。由指數衰減規律可以看到,A=-dN/dt=λN。
放射性活度的國際單位是貝可勒爾(Bq),它定義為每秒一次衰變,與以往放射性活度的常用單位居里(Ci)的關系是
1Ci=3.7×1010Bq。
放射性源的放射性活度同其質量之比,稱為比活度。
測量放射性活度的方法取決于射線的類型、活度的等級等,通常分為絕對測量和相對測量兩大類。絕對測量是用測量裝置直接按照定義進行的測量。在實際應用中放射源大多是β或α 放射性,活度多數是微居里級的,這類放射性活度的絕對測量方法主要有小立體角法、4π計數法和符合法等三種。相對測量是用一個已知活度的標準源與待測樣品在相同條件下進行測量,根據它們計數率的比值和標準源的活度即可算出待測源的活度。
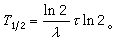
半衰期 處于某一特定能態的放射性原子核的數目或活度衰減到原來大小的一半所需的時間,通常用符號T┩表示。
平均壽命指處于某一特定能態的放射性原子核平均生存的時間。
利用指數衰減規律,容易得到半衰期T┩同衰變常數λ或平均壽命τ的關系如下

對半衰期在10-9秒到秒范圍的核素,采用直接測量N(t)的方法,利用指數衰減規律求出T┩。對半衰期在數分鐘到1~2年的核素,采用衰減跟蹤法,測量探測器計數率隨時間的變化,求出T┩。對半衰期在10年以上的核素,采用放射性比度法。此外還有測定子核法等,這些方法都基于放射性的指數衰減規律。對于極短的半衰期(小于10-9秒)的測量,需要采用一些特殊的技術(見核能級壽命測量)。
放射性的研究是十分重要的。基于放射性的研究所建立的衰變綱圖是原子核結構理論研究的重要依據之一。通過各種核態的衰變特性的測量可研究各種核性質和核反應機制。大量遠離β穩定線的核素就是根據它們的衰變特性進行鑒定和研究的。
放射性在許多學科的研究中,在工農醫和軍事等部門都有重要應用。例如,在工業中的β射線測厚度和γ射線探傷,農業中的輻照育種和射線刺激生物生長,以及醫學中的射線診斷和放射治療等方面都是富有成效的(見放射性同位素在農業上的應用、核醫學)。放射性測量的同位素示蹤方法和活化分析方法在核技術的應用中也占有重要位置。
參考書目
盧希庭主編:《原子核物理》,原子能出版社,北京,1981。
P.Marmier and E.Sheldon,Physics of Nuclei and particles, Academic Press, New York and London, 1969.
E. Segrè, Nuclei and particles,2nd ed., W. A.Benjamin,Reading, Mass., 1977.
Yuan,Luke Chai-Liu and Wu Chien-Shiung,Nuclear Physics,Part A. Academic Press, New York, 1961.
產品名稱:REN500L型環境監測用X、γ輻射空氣比釋動能率儀
產品描述:REN500L環境監測用X、γ輻射空氣比釋動能率儀采用超大尺寸、高靈敏的閃爍晶體作為探測器,反應速度快。主機內置探測器使得整機有更寬的測量范圍。儀器滿足《環境地表γ輻射劑量率測定規范》中低劑量部分的要求。該儀器除能測高能、低能γ射線外,還能對低能X射線進行準確的測量,具有良好的能量響應特性。此外通過
產品名稱:REN500H輻射防護用X、γ輻射劑量當量(率)儀
產品描述:REN500H輻射防護用X、γ輻射劑量當量(率)儀是監測各種高劑量放射性工作場所的輻射劑量率專用儀器。儀器滿足《環境地表γ輻射劑量率測定規范》中高劑量部分的要求。該儀器除能測高能γ射線外,還能對低能X射線進行準確的測量,具有良好的能量響應特性。此外通過配套的RenRiRate輻射劑量管理軟件可將存儲
產品描述: REN500E型X、γ輻射劑量率儀是以內置高靈敏度蓋格計數管為探測器,測量χ、γ和硬β輻射的多功能便攜式劑量率儀。作為輻射巡測儀,能顯示工作場所的劑量當量率和累積劑量,自動連續測量和記錄1600條輻射劑量率數據,更換電池時,日歷、時間及檢測數據能永久
產品名稱:REN200型X-γ個人劑量報警儀
產品描述: REN200型X、γ個人劑量報警儀(又叫X、γ輻射個人劑量當量HP(10)監測儀)內置高靈敏度蓋格計數管為探測器,主要用來監測各種放射性工作場所中個人的X、γ以及硬β射線的輻射,具有響應快,測量范圍寬的特點。能顯示工作場所的劑量當量率和累積劑量,更換電池時,日期及累積數據能
產品描述:REN系列智能化輻射探頭均可和REN300、REN300A、REN300B系列主機配套使用,也可以單獨配套RenRiArea輻射區域監測軟件使用。且具有RS485/RS232的通訊能力。所有探頭均可單獨外接報警燈,在超閾值的情況下就地給出聲光報警。 1、測量射線類型:X、γ射線2、探測器:2個GM
產品名稱:REN-GM45-Mul型α、β、γ、X多功能射線探頭
產品描述:REN系列智能化輻射探頭均可和REN300、REN300A、REN300B系列主機配套使用,也可以單獨配套RenRiArea輻射區域監測軟件使用。且具有RS485/RS232的通訊能力。所有探頭均可單獨外接報警燈,在超閾值的情況下就地給出聲光報警。 1、測量射線類型:α、β、γ、X射線2、探測器:







滬ICP備09065761號-11